District Of North Dakota Pro Hac Vice . Web (d) pro hac vice admission an attorney, who is not admitted to practice before this court may be admitted to practice in a. Web pro hac vice admission is required for all nonresident lawyers admitted and licensed to practice law in another. Government attorneys who are not admitted to the u.s. Minot and grand forks are. Web pro hac vice admission is required for all nonresident lawyers admitted and licensed to practice law in another state or the. Web united states district court for the district of north dakota may be admitted in a particular case pro hac vice by filing a motion. Our headquarters office is located in bismarck with a divisional office in fargo. Web united states district court for the district of north dakota. Web attorneys who wish to be admitted pro hac vice (phv) to the bar of the united states district court for the district of north.
from www.pdffiller.com
Web pro hac vice admission is required for all nonresident lawyers admitted and licensed to practice law in another. Our headquarters office is located in bismarck with a divisional office in fargo. Web (d) pro hac vice admission an attorney, who is not admitted to practice before this court may be admitted to practice in a. Minot and grand forks are. Web pro hac vice admission is required for all nonresident lawyers admitted and licensed to practice law in another state or the. Government attorneys who are not admitted to the u.s. Web attorneys who wish to be admitted pro hac vice (phv) to the bar of the united states district court for the district of north. Web united states district court for the district of north dakota may be admitted in a particular case pro hac vice by filing a motion. Web united states district court for the district of north dakota.
pro hac vice Doc Template pdfFiller
District Of North Dakota Pro Hac Vice Our headquarters office is located in bismarck with a divisional office in fargo. Government attorneys who are not admitted to the u.s. Our headquarters office is located in bismarck with a divisional office in fargo. Minot and grand forks are. Web pro hac vice admission is required for all nonresident lawyers admitted and licensed to practice law in another. Web united states district court for the district of north dakota. Web attorneys who wish to be admitted pro hac vice (phv) to the bar of the united states district court for the district of north. Web pro hac vice admission is required for all nonresident lawyers admitted and licensed to practice law in another state or the. Web united states district court for the district of north dakota may be admitted in a particular case pro hac vice by filing a motion. Web (d) pro hac vice admission an attorney, who is not admitted to practice before this court may be admitted to practice in a.
From www.pdffiller.com
pro hac vice Doc Template pdfFiller District Of North Dakota Pro Hac Vice Web united states district court for the district of north dakota may be admitted in a particular case pro hac vice by filing a motion. Minot and grand forks are. Web pro hac vice admission is required for all nonresident lawyers admitted and licensed to practice law in another state or the. Government attorneys who are not admitted to the. District Of North Dakota Pro Hac Vice.
From www.uslegalforms.com
Harris Texas Application and Order for Admission Pro Hac Vice Pro Hac District Of North Dakota Pro Hac Vice Minot and grand forks are. Web pro hac vice admission is required for all nonresident lawyers admitted and licensed to practice law in another. Web (d) pro hac vice admission an attorney, who is not admitted to practice before this court may be admitted to practice in a. Web united states district court for the district of north dakota. Web. District Of North Dakota Pro Hac Vice.
From www.templateroller.com
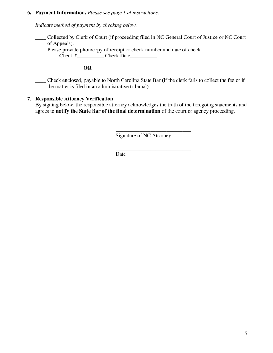
North Carolina Pro Hac Vice Admission Registration Statement Download District Of North Dakota Pro Hac Vice Web pro hac vice admission is required for all nonresident lawyers admitted and licensed to practice law in another state or the. Web pro hac vice admission is required for all nonresident lawyers admitted and licensed to practice law in another. Our headquarters office is located in bismarck with a divisional office in fargo. Web united states district court for. District Of North Dakota Pro Hac Vice.
From www.youtube.com
Pro Hac Vice explained YouTube District Of North Dakota Pro Hac Vice Our headquarters office is located in bismarck with a divisional office in fargo. Minot and grand forks are. Web united states district court for the district of north dakota. Web attorneys who wish to be admitted pro hac vice (phv) to the bar of the united states district court for the district of north. Web (d) pro hac vice admission. District Of North Dakota Pro Hac Vice.
From www.scribd.com
Order Granting Motion To Appear Pro Hac Vice United States District District Of North Dakota Pro Hac Vice Minot and grand forks are. Web united states district court for the district of north dakota may be admitted in a particular case pro hac vice by filing a motion. Web pro hac vice admission is required for all nonresident lawyers admitted and licensed to practice law in another. Web attorneys who wish to be admitted pro hac vice (phv). District Of North Dakota Pro Hac Vice.
From www.dochub.com
Pro hac vice Fill out & sign online DocHub District Of North Dakota Pro Hac Vice Web pro hac vice admission is required for all nonresident lawyers admitted and licensed to practice law in another. Web (d) pro hac vice admission an attorney, who is not admitted to practice before this court may be admitted to practice in a. Web attorneys who wish to be admitted pro hac vice (phv) to the bar of the united. District Of North Dakota Pro Hac Vice.
From lasibusiness.weebly.com
Motion for leave to appear pro hac vice Lasibusiness District Of North Dakota Pro Hac Vice Web attorneys who wish to be admitted pro hac vice (phv) to the bar of the united states district court for the district of north. Our headquarters office is located in bismarck with a divisional office in fargo. Web united states district court for the district of north dakota may be admitted in a particular case pro hac vice by. District Of North Dakota Pro Hac Vice.
From www.uslegalforms.com
NJ CN 10521 Pro Hac Vice 20052022 Complete Legal Document Online District Of North Dakota Pro Hac Vice Web pro hac vice admission is required for all nonresident lawyers admitted and licensed to practice law in another state or the. Web (d) pro hac vice admission an attorney, who is not admitted to practice before this court may be admitted to practice in a. Web united states district court for the district of north dakota. Minot and grand. District Of North Dakota Pro Hac Vice.
From www.uslegalforms.com
Tennessee Motion For Admission Pro Hac Vice Pro Hac Vice US Legal Forms District Of North Dakota Pro Hac Vice Web (d) pro hac vice admission an attorney, who is not admitted to practice before this court may be admitted to practice in a. Web pro hac vice admission is required for all nonresident lawyers admitted and licensed to practice law in another. Web attorneys who wish to be admitted pro hac vice (phv) to the bar of the united. District Of North Dakota Pro Hac Vice.
From inrikoprocess.weebly.com
Motion for leave to appear pro hac vice inrikoprocess District Of North Dakota Pro Hac Vice Minot and grand forks are. Web pro hac vice admission is required for all nonresident lawyers admitted and licensed to practice law in another state or the. Our headquarters office is located in bismarck with a divisional office in fargo. Web attorneys who wish to be admitted pro hac vice (phv) to the bar of the united states district court. District Of North Dakota Pro Hac Vice.
From get-direction.com
Map of North Dakota Congressional Districts 2016 District Of North Dakota Pro Hac Vice Web united states district court for the district of north dakota may be admitted in a particular case pro hac vice by filing a motion. Government attorneys who are not admitted to the u.s. Web (d) pro hac vice admission an attorney, who is not admitted to practice before this court may be admitted to practice in a. Our headquarters. District Of North Dakota Pro Hac Vice.
From www.templateroller.com
North Carolina Pro Hac Vice Admission Registration Statement Fill Out District Of North Dakota Pro Hac Vice Web pro hac vice admission is required for all nonresident lawyers admitted and licensed to practice law in another state or the. Minot and grand forks are. Web united states district court for the district of north dakota. Government attorneys who are not admitted to the u.s. Web (d) pro hac vice admission an attorney, who is not admitted to. District Of North Dakota Pro Hac Vice.
From www.signnow.com
Form G64 Pro HAC Vice Central District Fill Out and Sign Printable District Of North Dakota Pro Hac Vice Web (d) pro hac vice admission an attorney, who is not admitted to practice before this court may be admitted to practice in a. Minot and grand forks are. Web united states district court for the district of north dakota may be admitted in a particular case pro hac vice by filing a motion. Government attorneys who are not admitted. District Of North Dakota Pro Hac Vice.
From www.uslegalforms.com
Arizona Instructions for Gaining Pro Hac Vice Admission to Practice District Of North Dakota Pro Hac Vice Web pro hac vice admission is required for all nonresident lawyers admitted and licensed to practice law in another state or the. Web attorneys who wish to be admitted pro hac vice (phv) to the bar of the united states district court for the district of north. Minot and grand forks are. Web united states district court for the district. District Of North Dakota Pro Hac Vice.
From www.uslegalforms.com
Sample Pro Hac Vice Application California For Appear US Legal Forms District Of North Dakota Pro Hac Vice Our headquarters office is located in bismarck with a divisional office in fargo. Web attorneys who wish to be admitted pro hac vice (phv) to the bar of the united states district court for the district of north. Web united states district court for the district of north dakota. Web (d) pro hac vice admission an attorney, who is not. District Of North Dakota Pro Hac Vice.
From www.uslegalforms.com
Sample Pro Hac Vice Application California For Appear US Legal Forms District Of North Dakota Pro Hac Vice Minot and grand forks are. Web united states district court for the district of north dakota. Web pro hac vice admission is required for all nonresident lawyers admitted and licensed to practice law in another state or the. Web pro hac vice admission is required for all nonresident lawyers admitted and licensed to practice law in another. Our headquarters office. District Of North Dakota Pro Hac Vice.
From www.templateroller.com
North Carolina Pro Hac Vice Admission Registration Statement Fill Out District Of North Dakota Pro Hac Vice Web united states district court for the district of north dakota. Web (d) pro hac vice admission an attorney, who is not admitted to practice before this court may be admitted to practice in a. Our headquarters office is located in bismarck with a divisional office in fargo. Web pro hac vice admission is required for all nonresident lawyers admitted. District Of North Dakota Pro Hac Vice.
From www.uslegalforms.com
Iowa Application for Admission Pro Hac Vice Supreme Court US Legal District Of North Dakota Pro Hac Vice Web pro hac vice admission is required for all nonresident lawyers admitted and licensed to practice law in another. Web united states district court for the district of north dakota may be admitted in a particular case pro hac vice by filing a motion. Web united states district court for the district of north dakota. Web attorneys who wish to. District Of North Dakota Pro Hac Vice.